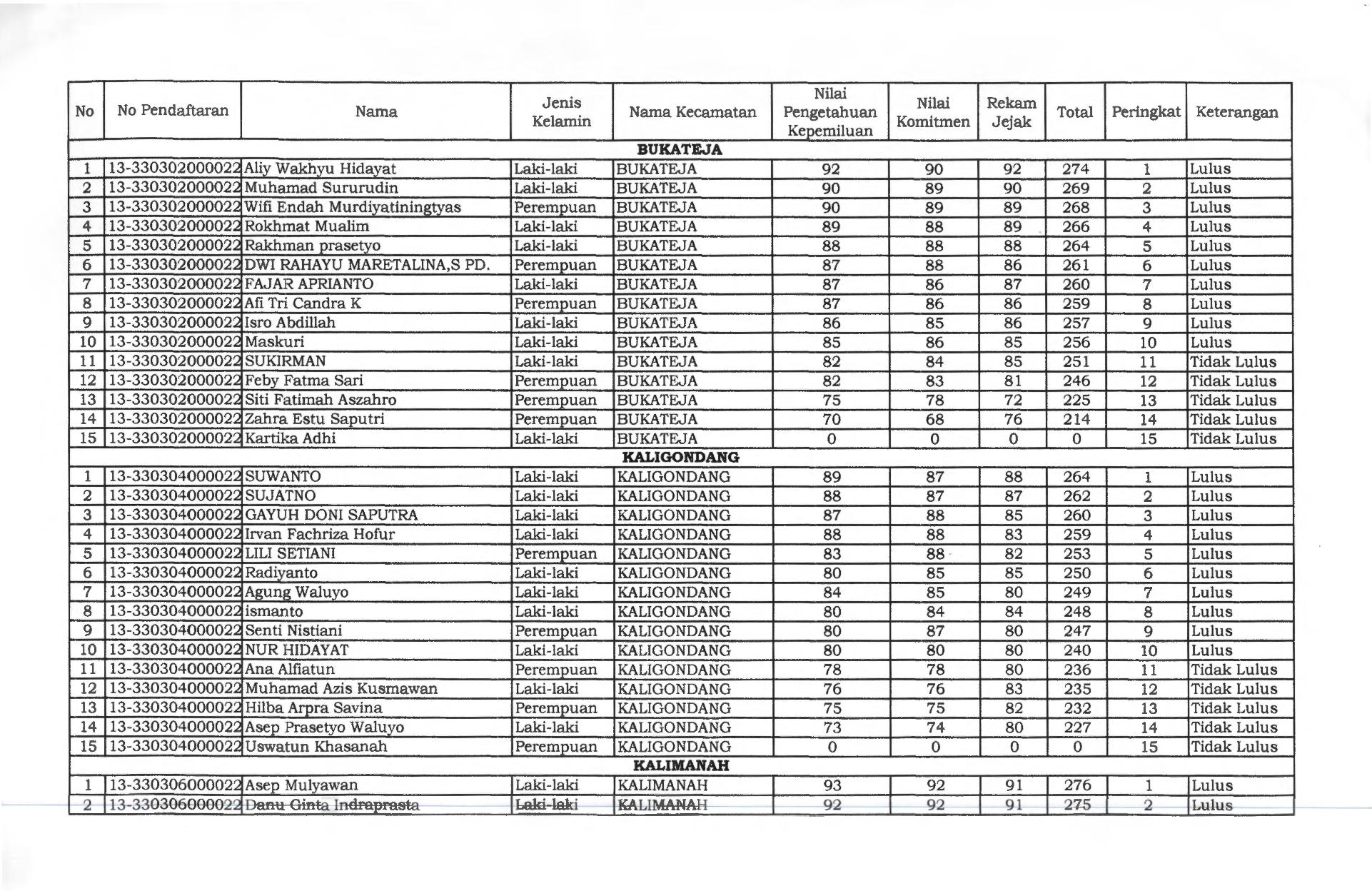
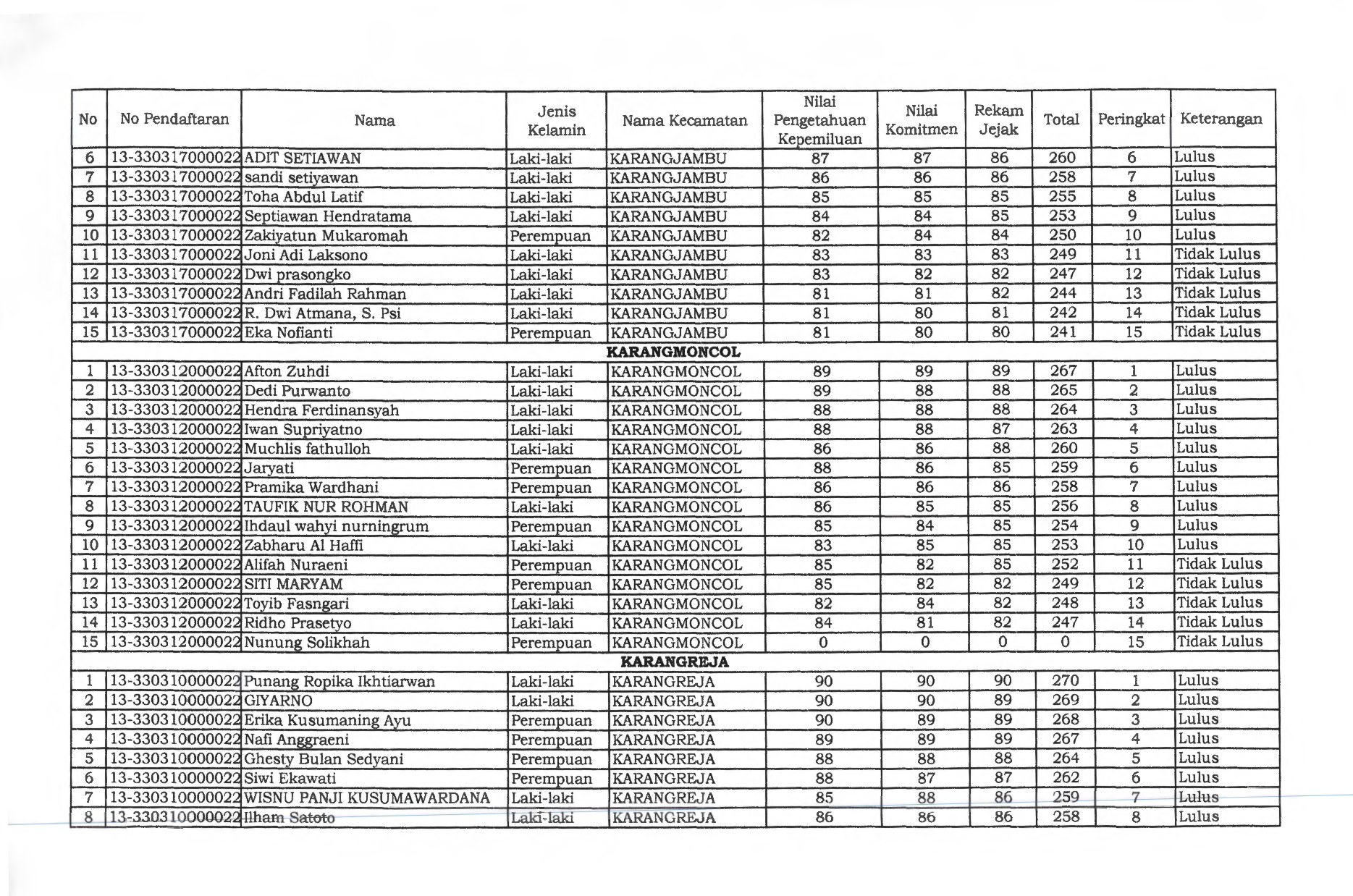
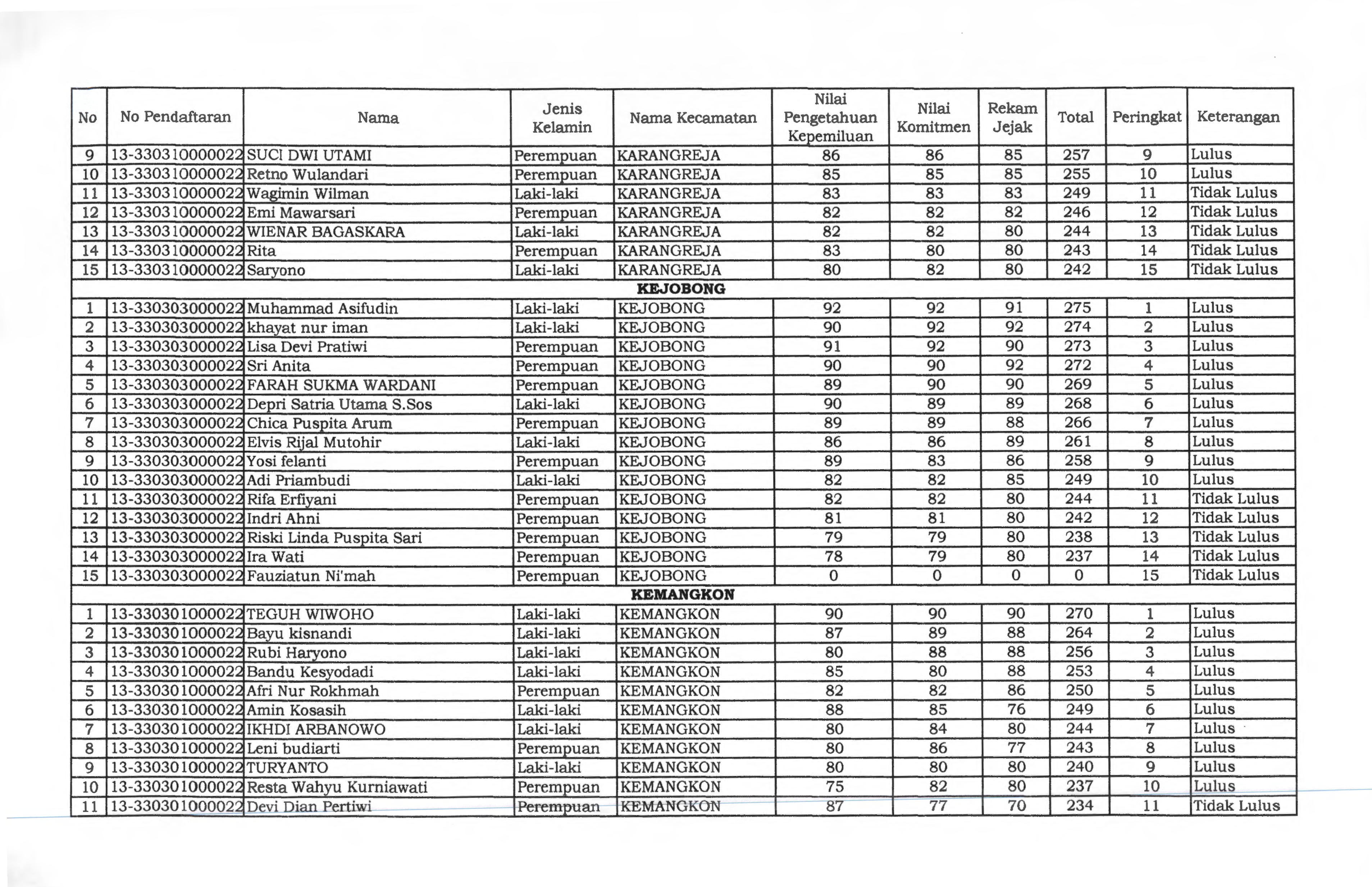
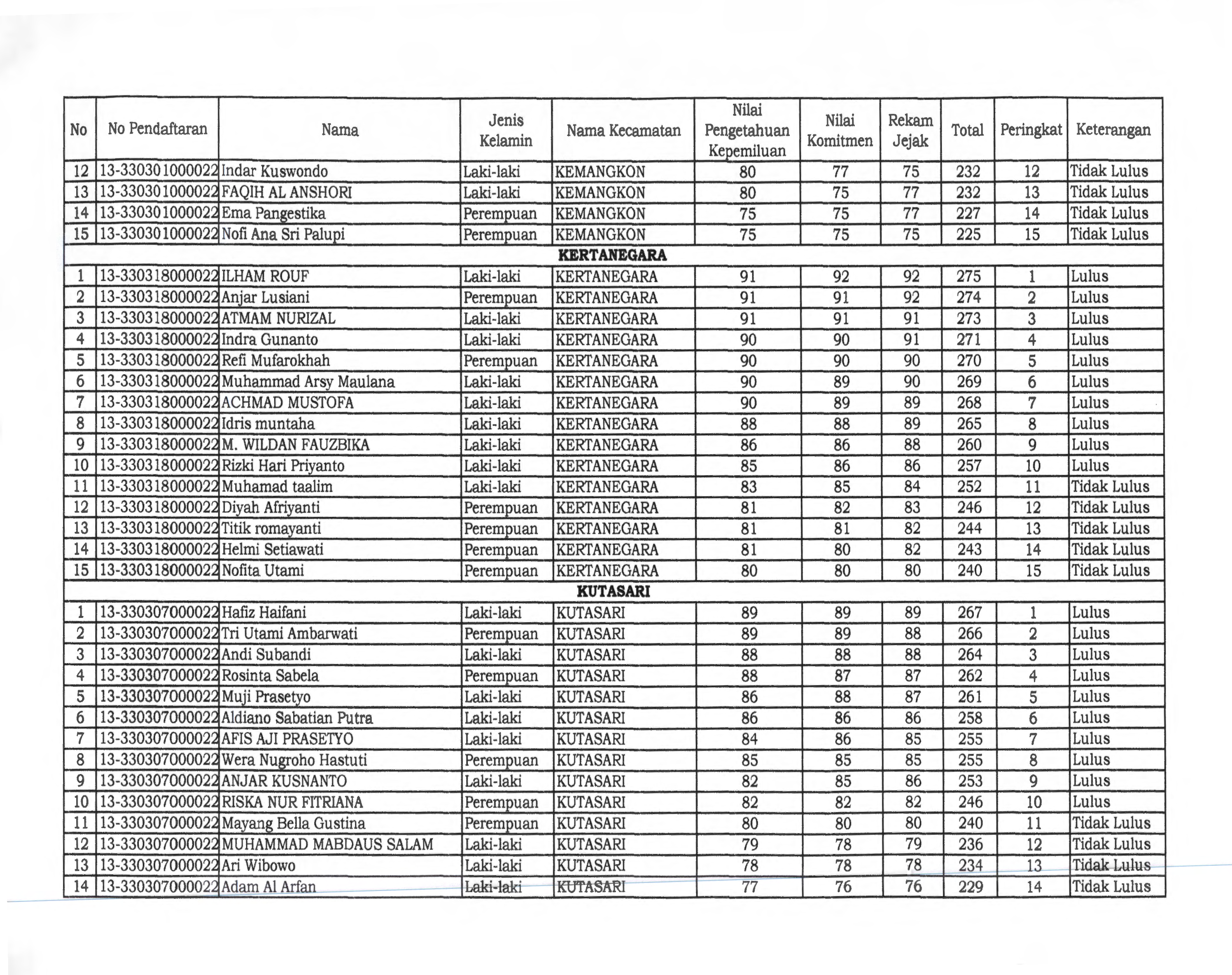
Pengumuman Penetapan Hasil Seleksi Calon Anggota PPK untuk Pemilu 2024










Pengumuman Penetapan Hasil Seleksi Calon Anggota Panitia Pemilihan Kecamatan (PPK) untuk Pemilihan Umum Tahun 2024 dapat diunduh disini.
Bagikan:
Telah dilihat 1,122 kali