Pengumuman Hasil Seleksi Tertulis Calon Anggota PPK pada Pemilu Tahun 2024















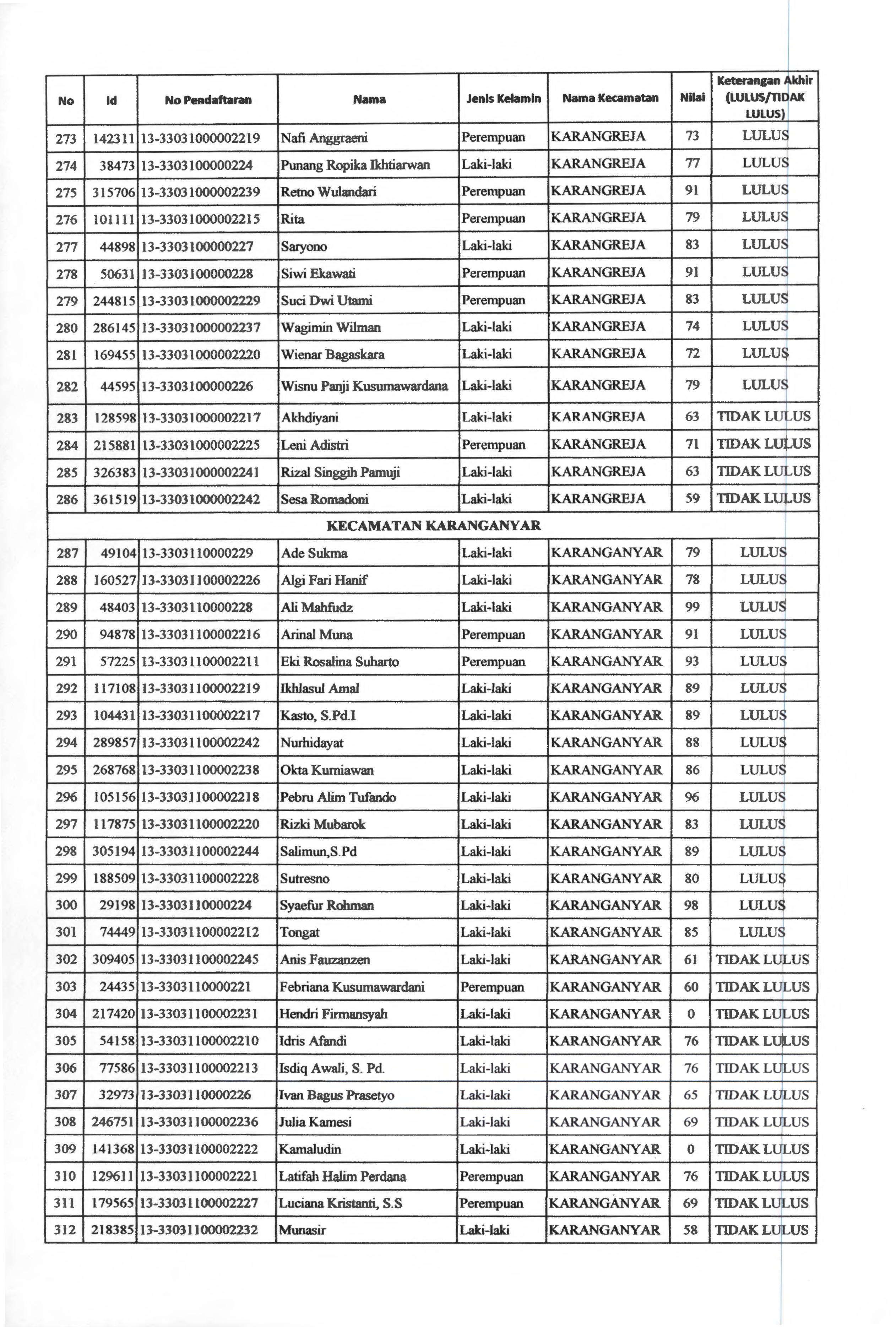
Pengumuman Hasil Seleksi Tertulis Calon Anggota Panitia Pemilihan Kecamatan (PPK) pada Pemilihan Umum Tahun 2024 dapat diunduh disini.
Bagikan:
Telah dilihat 863 kali