Pengumuman Hasil Penelitian Administrasi Calon Anggota PPK pada Pemilu Tahun 2024

























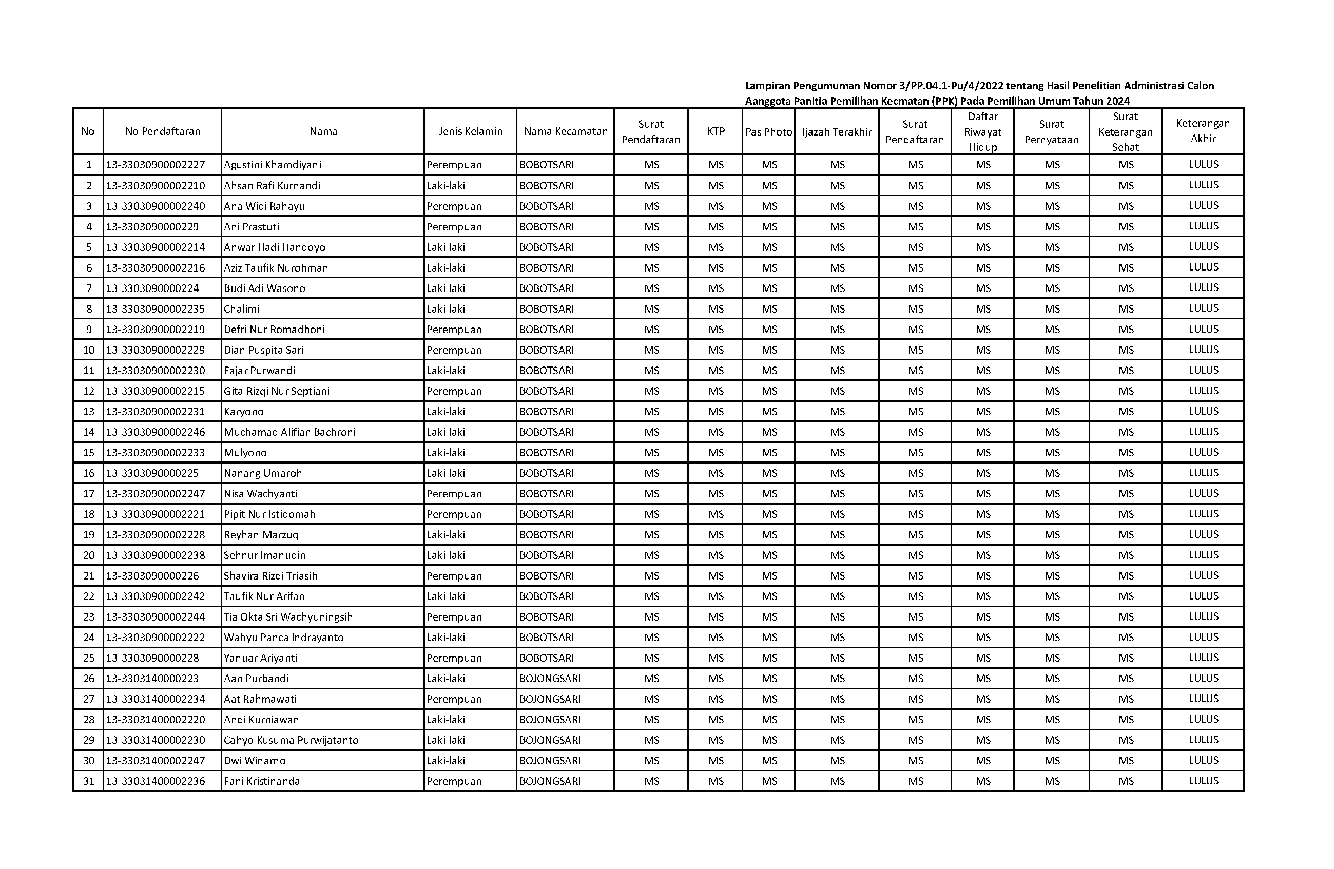
Pengumuman Hasil Penelitian Administrasi Calon Anggota Panitia Pemilihan Kecamatan (PPK) pada Pemilihan Umum Tahun 2024 dapat diunduh disini.
Bagikan:
Telah dilihat 1,226 kali